The September 2012 Columbia Borough Council meeting was held last night in the borough hall conference room; council president Michael Beury called the meeting to order at 7:00 pm. An audience of just over a half-dozen persons was in attendance as the meeting was conducted.
All of the council members except Mary Barninger were present; present, too, were the borough manager, mayor, solicitor and the recorder. The meeting followed the agenda (below). A few other issues surfaced during the meeting. They are listed below:
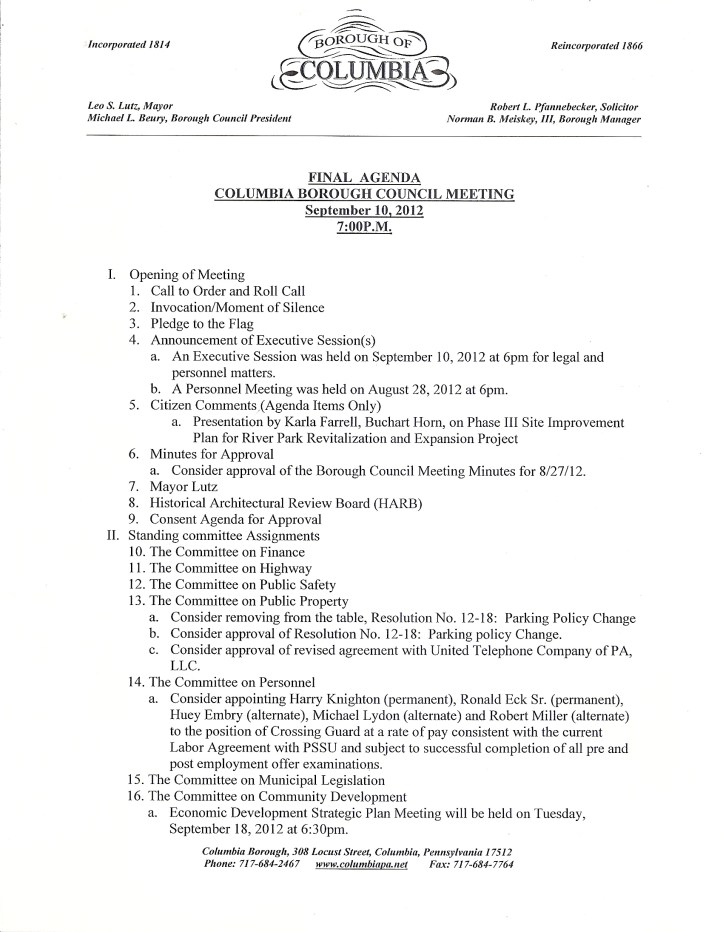
Agenda, page one
Agenda, page two
Adios, sayonara, good-bye Harrington’s! – A delighted Mayor Leo Lutz stated that Harrington’s Bar, in the 400 block of Locust Street, was ordered closed by the Pennsylvania State Liquor Control Board and that the liquor license could not be used anywhere in the borough of Columbia.
Forum on Bullying – The mayor also announced that a public forum would be held in the High School auditorium on September 25 at 6:30 pm. According to the mayor, the police department and the school district are sponsoring this public awareness forum in an effort to call attention to “bullying.” The forum will consist of topic presentations by a panel of experts.
Market House manager Patrick Wallace presented a “market house update” and stated his concerns about parking, electricity and handicap accessibility parking. He asked the councilors for consideration in the matters.
Where is the Borough going? Councilor Renae Sears announced the next-step Economic Development Strategic Planning workshop is scheduled to be held in the borough hall conference room on Tuesday, September 18 at 6:30 pm. Citizens are encouraged to attend.
EDITOR’S NOTE: The best way for citizens and community share holders to be informed about what has happened and what is planned is to attend the monthly meetings to get first-hand information.

