At the first regularly scheduled Borough Council meeting of the year, just over a dozen people were present as council president Michael Beury began last night’s meeting with the gavel taps at 7:03 pm. All seven councilors were present, as was the mayor, borough solicitor, borough manager, recorder of minutes and the borough financial officer.
Interestingly, newly appointed councilor, Jody Gable attended her first regularly scheduled meeting; her name and photo are not shown at the borough’s Website. The meeting was adjourned at 8:44 pm.
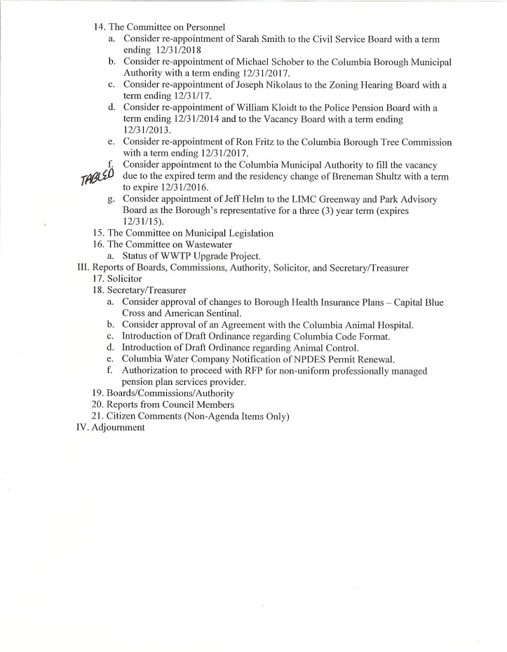
Agenda – page 0ne
Agenda – page two
NOTES FROM THE MEETING:
- Mayor Leo Lutz read a proclamation recognizing the Celebration of Catholic Schools Week. Two students from Our Lady of the Angels were on hand for the proclamation.
- The mayor also read a proclamation in celebration Martin Luther King’s contributions and proclaimed January 21 as a holiday in recognition of Martin Luther King.
- County Commissioner, Craig Lehman, attended part of last night’s meeting. The Commissioner has made a personal pledge to visit each of the county’s separate municipal (borough and township) meetings during his term.
- The council “tabled” the appointment of a representative to the Columbia Municipal Authority (agenda item II, 14, F). The council also asked anyone interested in serving on this Authority to apply for the volunteer position. This vacancy, and others, are shown here.
- A half dozen citizens asked for more information about Columbia’s decision to enter into an “Agreement with the Columbia Animal Hospital.” Those in attendance questioned several aspects of the agreement which outlines the manner of Columbia’s handling of stray animals, in particular dogs. The mayor restated that it is not Columbia’s intent to euthanize animals. Some wondered whether Columbia’s holding dogs for four hours before transporting them to Columbia Animal Hospital for longer term care was in compliance with the state law requiring a “kennel license.” Several of those asking for more information represented animal adoption and rescue groups; they asked for more information about how their groups can provide assistance in the stray dog matter that the borough faces. Some asked how the borough was going to notify citizens that their dog was being held at any of the kennel sites. The mayor responded that the Columbia Police Department will use its facebook site.
- Mary Barninger, Ccommittee on Personnel, stated that the search for a borough manager continues and that two or three candidates have been interviewed.
- There was discussion about the recent news that several municipal jurisdictions have opted to leave the Lancaster Inter-Municipal Council.



