A half-dozen citizens had a front row ticket for one of the more “biting” council meetings of season. The entire council, the mayor, the borough manager and the borough financial officer ran through the agenda items from 6:01 until 9:09 last night. They covered the items on the agenda (below) and entered into a few other areas.
With not enough time to review written and audio notes at this writing, Columbia news, views and reviews will have follow-up articles about the meeting topics over the next few days. Thornton Wilder would have been happy, though, because the name of his classic play, Our Town, was thrown into the script last night more than a few times by more than a few councillors, the mayor and others.
There’s a great line from the play that seems curiously applicable: ““Wherever you come near the human race there’s layers and layers of nonsense.”
Nonsense was in the council chambers last night.
Page 2
Notes:
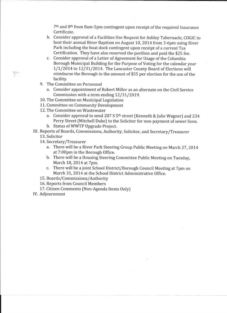
- Agenda item II, 9., a. – Council took no action on this agenda item until more clarification is attained. It was pointed out that if Robert Miller is employed by the borough, his appointment to the Civil Service Commission may not be authorized.
- Agenda item, II, 12. a. – The agenda incorrectly lists Kenneth and Julie Wagner; someone pointed out that the spelling of the last name of the persons residing at 287 S 5th street was Wanger.
- Agenda item, II, 6, a. – Quite a bit of councillor chatter took place on this issue. The obfuscatory nature of the mayor’s description of the PA DOT Agility Agreement elicited a response from a councillor that asked for clarity and being upfront. PA DOT describes the agility agreement as: “A contract between PennDOT and the Partner. When signed by PennDOT and the Partner and approved in Harrisburg, both parties may then complete a Work Plan. The agreement alone does not obligate any party to perform work. It merely provides the foundation and legal authority for cooperation and exchanging services. Some Agility Agreements are put in place as a type of “insurance policy” even if no work plans are executed.” When pressed by the councillor, the mayor consented that the agreement in consideration will have Columbia’s street sweeper sweep several bridges on four lane highways (Routes 30 and 283) and PA DOT will provide certain reciprocating actions. A citizen asked why Columbia was asked to be the Agility Agreement partner; the mayor said that two PA DOT employees live in Columbia and this may have led to Columbia being asked to enter into the Agility Agreement rather than other communities as Elizabethtown, etc.
- Non-Agenda item number 1 – Just before the meeting was adjourned, councillor Mary Barninger extended congratulations to the mayor and read a proclamation stating he has been named to the Chesapeake Bay Local Government Advisory Committee (LGAC).
- Non-Agenda item number 2 – Councillor Barninger related a conversation that left her unable to get her head around a concept. As she understood it, she described a collaborative initiative or an interim “consolidation” between Columbia Consolidated Fire Department and Columbia Quick Response, Inc. (QRS). However, it was explained to her, she said, that when the borough’s anticipated consolidation of all three operating fire companies comes to a consolidation conclusion, the QRS will not be part of that consolidation. The two response entities share a history.
– more to come in the next few days –

