At last night’s council meeting of the whole, there were some surprises and some non-surprises in store for the half-dozen or so citizens who witnessed the nearly 3 and 1/4 hours of democracy in action. From the time the borough president brought the meeting to order at 6:01 to an abrupt and surprise end at 9:13 pm, it was one of those “sausage-making” deals that folks as von Bismarck envisioned.
All the councillors except one was in attendance, someone said the missing councillor went to see the Jerry Springer Show. The councillor could have saved money and time.
The mayor, too, was absent from the meeting. He may have known that he was going to be the topic of a blistering attack from the council president near the end of the meeting.
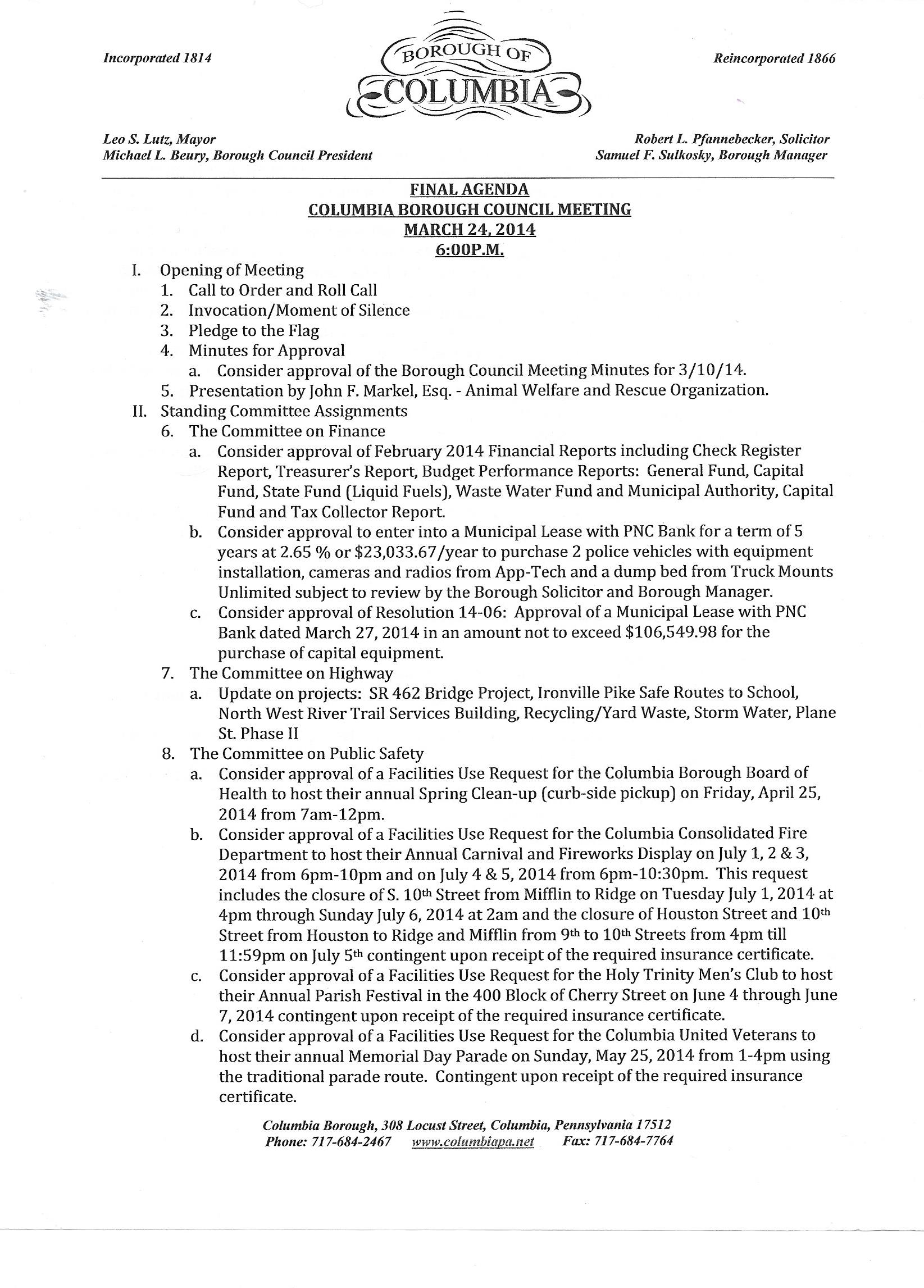
The agenda is replicated below; all but one of the items were passed. Can you guess which was not? More on that later.
page 0ne
page two
Since the meeting’s duration was so extended, Columbia news, views & reviews has had insufficient time to review the notes from last night’s meeting at this writing. Further, an early out-of-town meeting does not allow much time this morning.
Columbia’s citizens will have to rely on the observations of those who attended the meeting – the handful of citizens, the elected officials, a journalist corresponding for the daily newspaper – for summarized versions of what transpired. It is for this reason that we have recommended, and will continue to recommend, that citizens make time to come to the assemblies that are the council meetings.
And the agenda item that did not receive an approval from the councillors last night was Item II, 12, c. It was noted that the listed item should have been listed as the “LCPC (that’s Lancaster County Planning Commission) Planning Review of SALDO; the Zoning Ordinance and the Official Borough Map.” This seemingly innocuous line item slowly led to an explosion of discussion. More to come.
As one councillor and a former councillor in the gallery allowed, SALDO has been on nearly every council agenda for years. Here are some Columbia news, views and reviews citings:
On July 6, 2011, Columbia news, views & reviews posted this following a council Legislation and Public Property committee meeting: “S.A.L.D.O. (Subdivision and Land Development Ordinance). According to the Borough of Columbia Website: “Compliance with Chapter 190, Subdivision and Land Development. If an application under this chapter would also be regulated by the Borough Subdivision and Land Development Ordinance (“SALDO”), then any permit or approval under this chapter shall automatically be conditioned upon compliance with the SALDO. See the definitions of “land development” and “subdivision” in the SALDO. For example, if an applicant applies for a single-family detached dwelling on a proposed new lot, the construction permit for such dwelling shall not be valid until after the lot is granted final subdivision approval and the lot is officially recorded by the County Recorder of Deeds.” The topic was tabled for further committee review.”
On June 11, 2011: “The majority topic of the nearly two-hour meeting was about the ‘official map.’ We will have more insight and detail about ‘official maps’ in future article postings, but the following narrative is according to the Pennsylvania Municipalities Planning Code … ”
On June 23, 2011: “Columbia family-owned business speaks to concerns with borough’s official map project. Tim Sahd spoke before the Planning Commission at the Monday meeting. Here is the text of his comments concerning his objection to having the family-owned business properties listed on the map. At the meeting, several citizens appeared to speak to the issue of the borough’s processes and intents surrounding the ‘official map.’”
On November 23, 2011, we said this: “The official map currently is under consideration in the purview of Council’s Legislative Committee pending the posing of questions to legal counsel. Helm commented that this is ‘democracy in action.’”
The official borough map was written about here – and here.

