The April Borough Council meeting was convened at 7:04 pm tonight; councillors Jim Smith and Jody Gable were absent. The remaining councillors, the mayor, the acting borough manager, the finance director and the solicitor conducted the meeting in the presence of about a dozen people in the gallery. The meeting was adjourned at 9:14 pm.
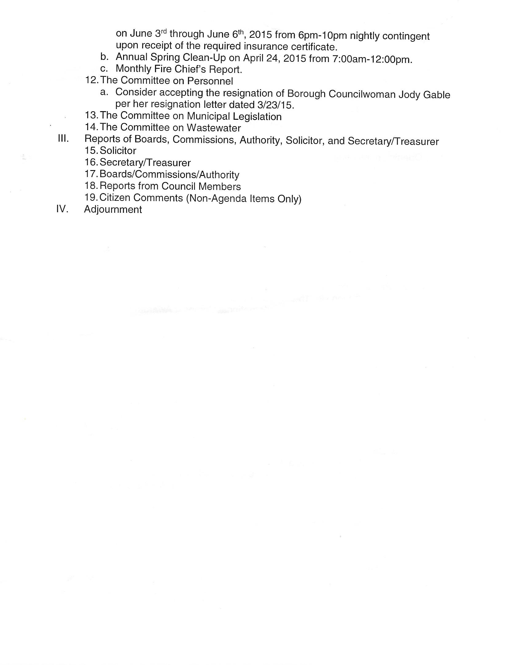
The one absent councillor, Gable, submitted her resignation from council at a previous meeting.
Eligible citizens are encouraged to submit interest in completing Gable’s term. A letter of interest and a brief statement of qualifications should be tendered to the acting borough manager.
The basic qualification to serve as a borough councillor is to be a registered voter and resident of the borough. Councillors must have resided in the borough continuously for at least one year before their election. To continue serving as a councillor, an individual must retain residence within the borough. To qualify as a voter, a person must be eighteen years of age and a resident of the election district. A person whose name appears on the district voting register but who is no longer a resident of the borough is not a lawfully registered elector. Legal residence includes not only a person’s intention, but also a physical presence. The requirement of residence approximates domicile. Intention or voter registration is not enough; the actuality of an individual’s residence is better determined by conduct than by words. A person cannot declare a domicile inconsistent with the facts of where one actually lives.
Agenda page one
Agenda page two
Due to other commitments, Columbia news, views & reviews is unable to add comments about the conversations and the agenda topics at this time.
Columbia Police Department news release – April 13, 2015
JAYNE A. MAUND, AGE 44, OF COLUMBIA, WAS CITED FOR VEHICLE TURNING LEFT AT 3RD. & CHESTNUT STREETS, 12 APRIL 2015.
DILLON T. REYNOLDS, AGE 24, OF LANDISVILLE, WAS CITED FOR REGISTRATION & CERTIFICATION OF TITLE REQUIRED, AT 3RD. & CHESTNUT STREETS, 12 APRIL 2015.
CHRISTOPHER W. MILLER, AGE 41, OF COLUMBIA, WAS CITED FOR OPERATION OF VEHICLE WITHOUT OFFICIAL CERTIFICATE OF INSPECTION ON SOUTH FOURTH STREET, 11 APRIL 2015.
KRISTY LANDIS, AGE 38, OF LANCASTER, WAS CITED FOR OPERATION OF VEHICLE WITHOUT OFFICIAL CERTIFICATE OF INSPECTION, IN THE 800 BLOCK OF LOCUST STREET, 12 APRIL 2015.
JOSE EDUARDO PEREZ NIEVES, AGE 26, OF YORK, WAS CITED FOR MAXIMUM SPEED LIMITS; REGISTRATION & CERTIFICATION OF TITLE REQUIRED; AND FOR REQUIRED FINANCIAL RESPONSIBILITY, AT ROUTE 30 EAST & RT. 441, 12 APRIL 2015.
RANDY S. COOPER, AGE 34, OF COLUMBIA, WAS CITED FOR DRIVING WHILE OPERATING PRIVILEGE IS SUSPENDED OR REVOKED AND FOR STOP SIGNS & YIELD SIGNS, AT 13TH. & MANOR STREETS, 10 APRIL 2015.
JEFFREY TEMPLIN, AGE 26, OF BAINBRIDGE, WAS CITED FOR FINANCIAL RESPONSIBILITY; TRAFFIC-CONTROL SIGNALS; AND FOR DRIVING WHILE OPERATING PRIVILEGE IS SUSPENDED OR REVOKED, AT 3RD. AND LINDEN STREETS, 12 APRIL 2015.
WILLIAM MYERS, AGE 55, OF COLUMBIA, WAS CITED FOR STOP SIGNS & YIELD SIGNS AND FOR DRIVING WHILE OPERATING PRIVILEGE IS SUSPENDED OR REVOKED, AT ROUTE 30 EAST & LINDEN STREET, 12 APRIL 2015.
THE FOLLOWING PERSONS WERE CITED FOR OBEDIENCE TO TRAFFIC CONTROL DEVICES, 12 APRIL 2015: KEVIN BAHADUR, AGE 21, OF COLUMBIA; OSMAN AHMED KHAN, AGE 28, OF CONESTOGA; JOSEPH P. GOODHART, JR., AGE 51, OF MANHEIM; AND ALEXIS MARIE LITTLE, AGE 21, OF YORK.
THE FOLLOWING PERSONS WERE CITED FOR MAXIMUM SPEED LILMITS, AT ROUTE 30 EAST & RT. 441, 12 APRIL 2015: ZACHARY R. BRODY, AGE 21, OF YORK; LAURA E. McDOWELL, AGE 49, OF LITITZ; COLIN E. B. HUNT, AGE 18, OF LANCASTER; SARA MARIE BAKKE, AGE 23, OF MARYLAND; NICCOLE LYNN WRIGHT, AGE 37, OF EASTON; ALEMAYEHU DEMISSIE, AGE 60, OF NEW JERSEY; AND RICHARD C. AVERSALLI, AGE 23, OF SPRING GROVE.


