It was a meeting that began at 6:01 pm and ended at 8:10 pm. It ended in the style of a good mystery book with a surprise. All the people at the u-shaped tables at the front of the room adjourned and went into an executive session immediately.
One councillor, Stephanie Weisser and the mayor, were not present as the council president tapped the gavel to begin the meeting. The other councillors, the acting or interim borough manager, Ron Miller, and consultant and former borough manager, Norman B. Meiskey III were present as were a dozen or so citizens. The mayor arrived within a few minutes and was whisked away by a TV reporter. He re-joined the meeting within five or so minutes.
Columbia news, views & reviews reminds readers that to get the full meeting content, facial gestures, eye movements and actions, they have to attend meetings. The individual second-source reports will not catch nor report all that transpired. Columbia news, views & reviews does audio record all public meetings; if you want a copy of the recording, email 17512@mail.com.
During the meeting there was significant discussion about the barricaded property in the lower part of the 200 block of Locust Street. Councillors wanted to know why the borough could not condemn the property or have it razed. Councillors and citizens discovered that there was no timeline for remediation; the structural integrity of the building is assured, said the consultant. It was noted that the property owner’s cooperation appears to have ceased.
This olympian and egregious debacle has cost the borough money because the borough had to pay to erect the protective passageway on the sidewalk. Further, it’s costing the owners of the adjacent manicured building Customers, business and money. The owner of the property and another “does nothing.” There have been suits filed against the property owner.
Because Columbia news, views & reviews will have to review its recording of tonight’s meeting, more details about the meeting will be coming tomorrow. Many of the issues and revelations have to do with codes and possible codes department indiscretions.
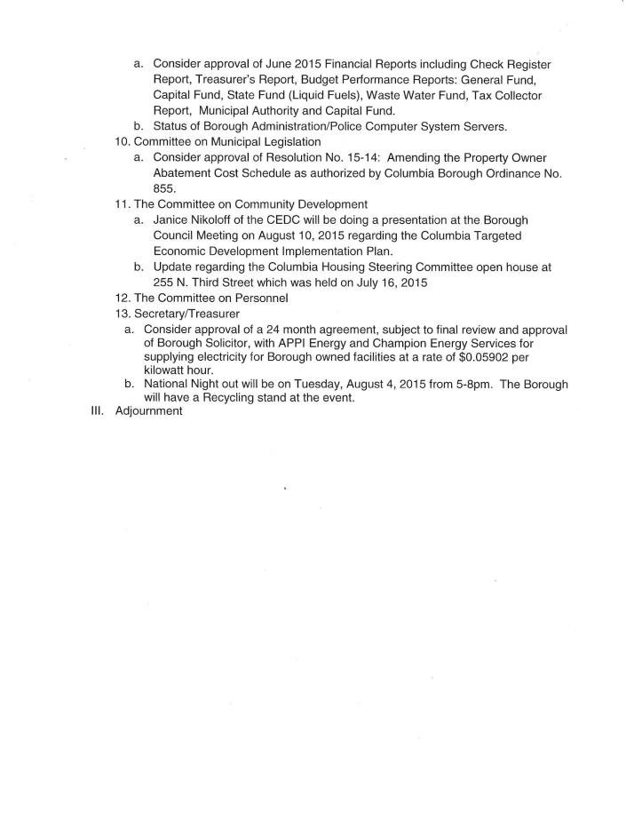
Here is the agenda.
page one [NOTE: Ronald L. Miller is listed as the Borough Manager on the agenda.]
Page two

