The September meeting began at 7:04 pm with the entire council present as was the mayor, the solicitor, the interim borough manager and the finance director. The room was filled with citizens – many of whom had discussion topics that were shunted to the end of the meeting because theirs were not “agenda items.”
The end of the meeting came, finally, at 11:09 pm. Largely, those remaining were citizens who had real concerns about:
- slum landlords who seem to operate with impunity … certainly with impunity from the codes department.
- why landlord Sam Bigler appears to have to not comply with obvious codes infractions. One citizen offered: “Sam Bigler is the blight of my neighborhood.”
- letters that have been sent to certain retail establishments that sell previously owned merchandise and law enforcement presence in the 400 block of Locust Street. The mayor contended that the police are too busy going to people’s homes where there are people getting beat up and robbed.
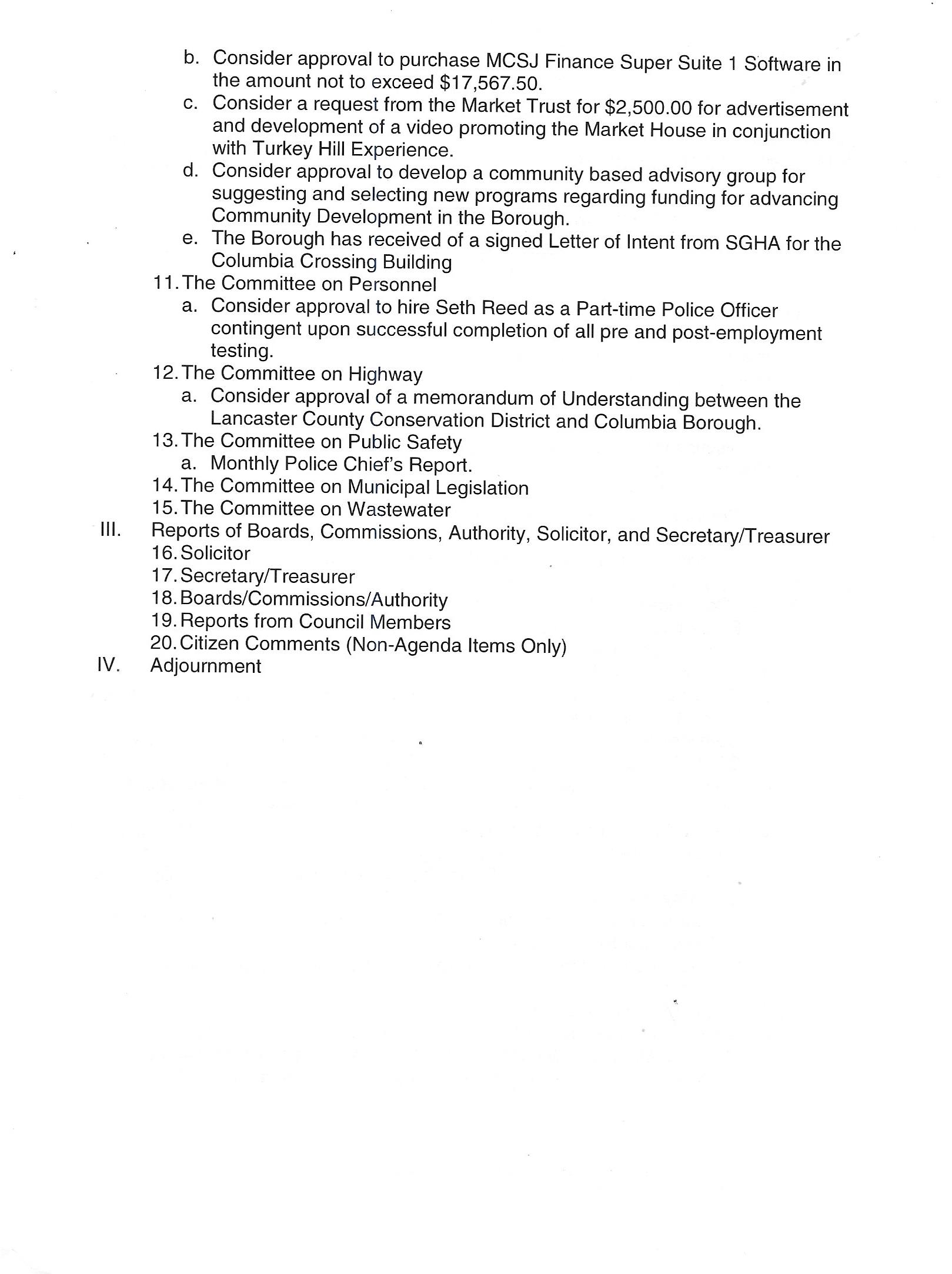
Agenda page 1
The above agenda items were approved by the councillors.
Columbia news, views & reviews regularly reminds readers to attend meetings to get unfiltered first-person information as it happens.
Reading reports or listening to second-hand information from someone who may have been at the meeting provides, at best, superficial and selective accounts of what actually transpired or was said.
Due to time constraints and other early morning, out-of-town obligations, Columbia news, views & reviews is unable to provide a more detailed report of what happened at tonight’s meeting. More details will be coming in a day or two.


What was the story with the letters to retail establishments? I left at the tail end of the Bigler discussion.
Appears letters have been mailed to shopkeepers and store owners who deal in previously owned items and the shopkeepers and store owners are wondering why they appear to be singled out for additional bookkeeping and reporting. This has to do with the enactment of an ordinance over a year ago with which the borough hoped to keep track of stolen merchandise by making the store owners partners or accomplices in keeping track of possible stolen merchandise, as we understand it.
Here’s the reference: http://www.ecode360.com/29602796?highlight=previously,antiques,antique#29602796
The mayor attempted to explain it but was assisted by a councillor.
The shopkeepers and store owners had perplexed looks on their faces and wondered “what the heck.”
Again, it is one of those items we keep referencing, as we say, citizens have to attend meetings.