Today’s news and information gleanings from here and there.
Quote for today … “With this program, we want to enable homebuyers and homeowners to invest in their residences. This will have a ripple effect within the area – sprucing up a well-traveled corridor at the entry to our city, spurring neighbors and business owners to update their properties and building pride throughout Columbia.” – Columbia Council President Kelly Murphy in this news release announcing the new home improvement and home purchasing assistance program. The program was presented in greater detail at last night’s Council meeting.

- Last night’s council meeting began with nearly two dozen people in the audience as Council President Kelly Murphy brought the meeting to order at 7:00 pm in the borough hall’s council chambers. All the councillors, the mayor, the borough manager, the solicitor and the consultant retained to assist in coordinating and communicating the many borough projects were present.
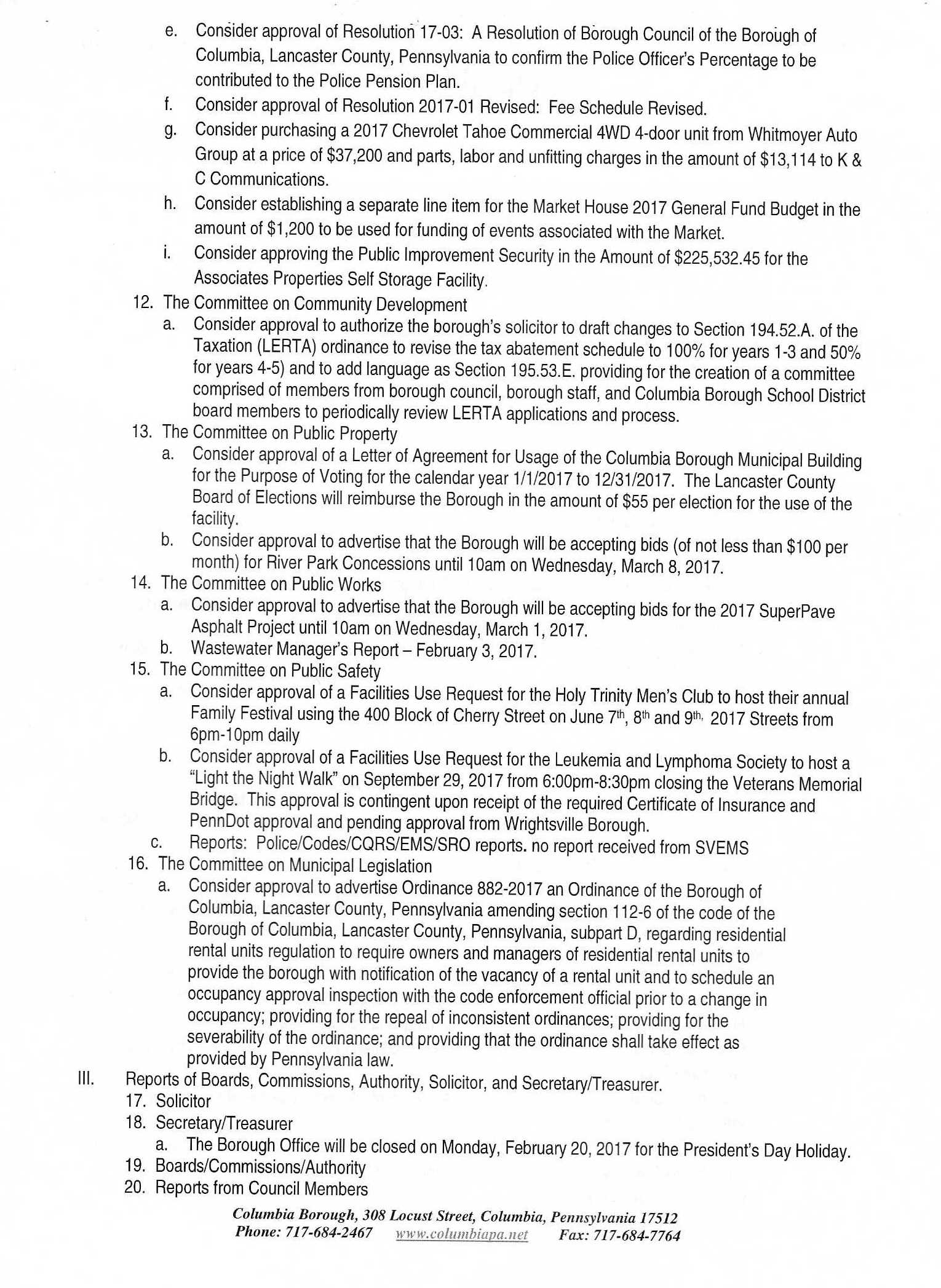
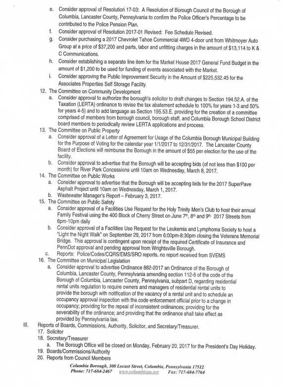
- The meeting agenda is shown at the end of this column.
During last night’s meeting, the mayor and police chief thanked representatives from the Loyal Order of Moose Lodge 307 and American Legion Post 372 for their donation to the police department. Their organizations’ contributions allowed the department to acquire new protective body armor and tactical helmets according to the police chief.
- Representatives from the Lancaster Housing Opportunity Partnership (LHOP) introduced the Columbia Home Improvement and Home ownership Loan Program. Chief Executive Officer, Ray D’Agnostino and Fran Dannis, Chief Operating / Lending Officer facilitated a Power Point program overviewing and explaining the scope of the program. The two-parted program provides well-below market rate interest rates for home improvement and home ownership loans. Council president Murphy stressed that these programs are the result of year-long planning and discussions among the partners in the project.
- Already existing is the “LHOP Columbia North Third Street Facade Improvement Program is intended to improve the quality of the housing stock, refine the gateway into Columbia Borough and enhance the sense of community pride in the neighborhood.”
- Click here for more information about the borough’s “Community Development” programs and plans.
- During last night’s meeting borough consultant Rebecca Denlinger presented a renewed and more aggressive L.E.R.T.A. (tax abatement) scale. The proposed scale would be for three years at 100% and two years of 50% abatement on property improvements. Adoption of the proposal requires the joint approval of the Columbia Borough School District and the Borough. This is critical because the school taxes represent the significantly higher tax burden. The borough is seeking a date for a joint borough / school district meeting.
- “What’s L.E.R.T.A. Local Economic Revitalization Tax Assistance Act.”
- Columbia’s current L.E.R.T.A. programs are ordinances | Ordinance 840 – Commercial LERTA | Ordinance 841 – Residential LERTA
- Denlinger was contracted by the borough in September, 2016. She is the principal of Rising Tide Collaborative, LLC. Contracted to spearhead a program to provide a “scope of services to be presented by the Independent Contractor.” Her services include the fostering of coordination, collaboration, communication and consistency among the varied interests and programs that have been identified previously as master plans, strategic plans and other grant-funded idea documents.
- Marlene Geltz was introduced as the borough’s Municipal Tax Collector. Geltz is the owner of Geltz Gotz Goodeze.
- A citizen made a plea about his narrative of a injustice and illegal actions imposed on him. He said he’d written to each of the Borough’s elected public servants and none had responded to him. The police chief will meet with the citizen to hear his grievances.
NOTE: During his comments at the meeting, citizen Frank Doutrich noted the absence of citizens at council and council committee meetings. He praised councillor John Novak for conducting a thoroughly professional safety committee meeting.
Again, when citizens do not attend public meeting, they are left to getting information via “secondary sources” – sources as media reports or conversations with others who may have attended the meeting or rumors. We strongly encourage citizens to attend public meetings to see and hear what happens. Columbia news, views & reviews does audio record these meetings in accordance with current state laws. If you would like a copy of the digital recording, contact Columbia news, views & reviews by emailing 17512@mail.com


