“Today, there was a open public meeting in Columbia Pennsylvania at the National Watch and Clock Museum with the “Columbia Concerned Citizens Association.”
“A great group of locals trying to take back our local communities and make a difference. People who are passionate about holding the local government and borough council accountable. They desire open government and fiscally responsible government.” – FarmFresh.Media
“Not Everyone at the Meeting was happy about the citizens wanting to hold the elected powers accountable: Watch the VIDEO here: https://www.youtube.com/watch?v=-TlshAnnV7g
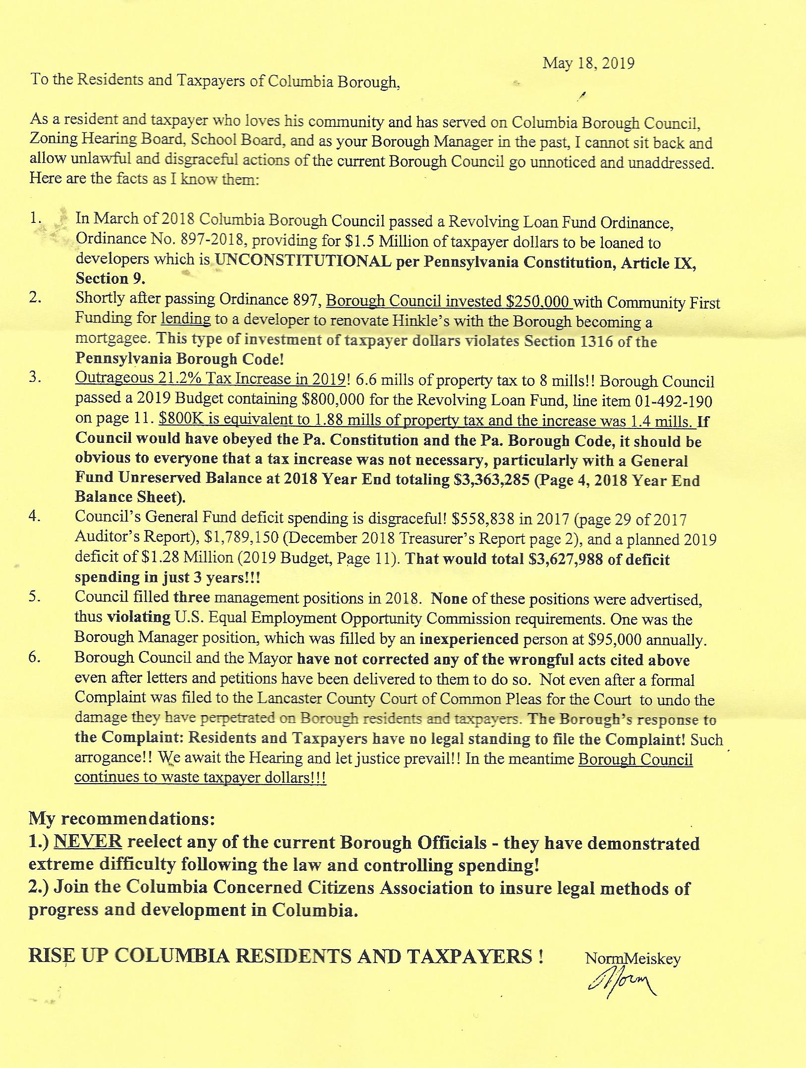
This message is being distributed to Columbia residences according to a Columbia Concerned Citizens Association representative.

And this is the citizens’ groups’ governing principles.

